A potentiometer also referred to as pot may come in a wide variety of shapes and are used in many applications in your daily life, for example to control the audio volume of the radio.
A pot is a manually adjustable variable resistor with three terminals. In the figure below you can see some examples of potentiometers.

Potentiometer Symbols
In a circuit diagram, a potentiometer is represented by one of the two symbols below:

How Does a Potentiometer Work?
A potentiometer has 3 pins. Two terminals (the blue and green) are connected to a resistive element and the third terminal (the black one) is connected to an adjustable wiper.

The potentiometer can work as a rheostat (variable resistor) or as a voltage divider.
Rheostat
To use the potentiometer as a rheostat, only two pins are used: one outside pin and the center pin. The position of the wiper determines how much resistance the potentiometer is imposing to the circuit, as the figure demonstrates:

If we have a 10kΩ potentiometer, it means that the maximum resistance of the variable resistor is 10kΩ and the minimum is 0Ω. This means that by changing the wiper position, you get a value between 0Ω and 10kΩ.
Voltage Divider
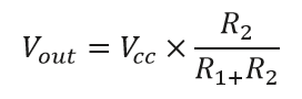
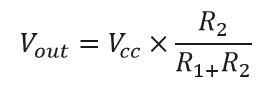
Potentiometers can be used as voltage dividers. To use the potentiometer as a voltage divider, all the three pins are connected. One of the outer pins is connected to the GND, the other to Vcc and the middle pin is the voltage output.

When the potentiometer is used as a voltage divider, the wiper position determines the output voltage. When you have the potentiometer connected this way, you have the following circuit:

Basically, the voltage divider is used to turn a large voltage into a smaller one.
The output voltage can be calculated using the following equation obtained from Ohm’s Law:

Potentiometer Taper
One main concept associated with potentiometers is the taper. The taper is the relationship between the position and the resistance of the potentiometer. The most common types are linear and logarithmic tapers.
Linear potentiometers
The most common form is the simple linear taper. In a linear taper, the relationship between the resistance and the potentiometer position is linear.
This means that if the knob of the potentiometer is at the medium position, the output voltage is half of the voltage through the potentiometer. See the figure below:

Potentiometers with linear taper are marked with a B.

Logarithmic potentiometers
Non-linear tapers are specially used in audio control applications, namely logarithmic tapers (there are also inverse-logarithmic tapers). The relationship between the position and the resistance is shown in the following figure:

Potentiometers with logarithmic taper are marked with an A.

Wrapping Up
I hope you’ve learn something new today and you’ve found this explanation useful.
If you’d like to know more about electronics basics or if you’d like to start into the world of electronics make sure you check out our Electronics for Beginners eBook.
Thanks for reading.




You has achieved the excellence. Congratulations!
Thank you for reading!
I found this very helpful thank you very much and keep up the great work… 🙂
You’re welcome! I’m glad it was helpful
as usual, you deliver 🙂
Thank you for reading!
Very nice article and full of great information. Didn’t know about the letter labeling so I learned a great deal. Thank you so much!
Hi Mike, awesome! I’m glad there was something new that I could show 🙂
Very nice tutorial buddy i really learned a lot about potentiometer from your blog.You are great
Hi Simranjeet Singh.
Thanks for your support!
Very informative easy to follow and we’ll presented. I wish more information on the Web was well presented like this. Many Thanks.
Hi Robert.
Many thanks for your support.
Regard
Sara 🙂
This was it.
Ei Rui, vc entende português?
Gostaria de elogiar seu artigo, muito bom, obrigado pela informação!
Olá Marcos.
Sim. Nós somos portugueses.
Mas gostamos de manter os comentários em inglês para que todos os nossos leitores nos entendam.
Obrigada pelo seu elogio.
Cumprimentos,
Sara
Thank you, it helped me to better understand the mechanism.
Just printed this for a guy with an As. deg. Wow, modern education.